프로그래머스 두 정수 사이의 합
DoDoBest
·2024. 2. 5. 17:16
https://school.programmers.co.kr/learn/courses/30/lessons/12912#
프로그래머스
코드 중심의 개발자 채용. 스택 기반의 포지션 매칭. 프로그래머스의 개발자 맞춤형 프로필을 등록하고, 나와 기술 궁합이 잘 맞는 기업들을 매칭 받으세요.
programmers.co.kr
처음에는 작은 값부터 큰 값까지 for loop으로 더하려고 했습니다.
그런데 작은 값이 0보다 작은 경우, +- 합에 의해 사라지므로 0보다 작은 값을 더할 필요가 없다는 생각이 들었습니다. 그래서 작은 값과 큰 값의 부호에 따른 분기를 나눴습니다.
-100, -10 -> bigNum < 0
-100, 10 -> bigNum > 0, abs(smallNum) > abs(bigNum)
-100, 1000 -> bigNum > 0, abs(smallNum) <= abs(bigNum)
10, 100 -> smallNum > 0
1 ~ n 까지의 합 공식인 n(n+1)/2가 떠올라서 (절댓값이 큰 값까지의 합 - 절댓값이 작은 값까지의 합)을 결과로 출력하기로 생각했습니다.
이 과정에서 edge 케이스와 분기 처리를 제대로 하지 않아 2시간 동안 원인을 찾지 못했습니다.
import kotlin.math.abs
class Solution {
fun solution(a: Int, b: Int): Long {
if (a == b) {
return a.toLong()
} else if (a == -b) {
return 0
}
var smallNum = b
var bigNum = a
if (a < b) {
smallNum = a
bigNum = b
}
var mark = 1L
if (bigNum > 0 && smallNum < 0) {
if (abs(smallNum) > abs(bigNum)) {
mark = -1
val temp = bigNum
bigNum = smallNum * -1
smallNum = temp
} else if (abs(smallNum) < abs(bigNum)) {
smallNum *= -1
} else {
return 0
}
} else if (bigNum < 0) {
mark = -1
bigNum *= -1
smallNum *= -1
} else {
smallNum -= 1
}
val bigRes = bigNum * (bigNum + 1) / 2L
val smallRes = smallNum * (smallNum+1) / 2L
// println("$bigNum $bigRes and $smallNum $smallRes")
return mark * (bigRes - smallRes)
}
}
위 코드에서 뭐가 문제일까요?
- smallNum과 bigNum은 a와 b를 그대로 대입받아 Int 타입입니다. a와 b의 값이 매우 클 경우 합 공식을 적용할 때 overflow가 발생하여 정확하지 않은 값이 나옵니다.
ex) -1, 10000000 - smallNum과 bigNum 모두 0보다 작은 경우( bigNum < 0 block )
smallNum의 절댓값이 bigNum의 절댓값보다 큼에도, 두 숫자를 바꾸지 않아 결괏값이 음수가 아닌 양수가 되었습니다.
또한 절댓값이 작은 값의 음수를 포함하기 위해 1을 빼주지 않았습니다.
이 2가지 문제를 해결하면 아래와 같이 됩니다.
import kotlin.math.abs
class Solution {
fun solution(a: Int, b: Int): Long {
if (a == b) {
return a.toLong()
} else if (a == -b) {
return 0
}
var smallNum = b.toLong()
var bigNum = a.toLong()
if (a < b) {
smallNum = a.toLong()
bigNum = b.toLong()
}
var mark = 1L // 두 숫자를 모두 절댓값으로 만든 다음, 결괏값에 부호를 결정하기 위한 변수
if (bigNum > 0 && smallNum < 0) {
if (abs(smallNum) > abs(bigNum)) { // -100, 10
mark = -1L
val temp = bigNum
bigNum = abs(smallNum)
smallNum = temp
} else if (abs(smallNum) < abs(bigNum)) { // -100, 1000
smallNum *= -1
} else {
return 0
}
} else if (bigNum < 0) { // -100, -10
mark = -1L
val temp = abs(bigNum)
bigNum = abs(smallNum)
smallNum = temp - 1 // 절댓값이 더 작은 숫자도 포함하기 위해 1을 뺌
} else {
smallNum -= 1 // smallNum도 포함하기 위해 1 뺌
}
// 1 ~ n 합 공식 적용 : n(n+1)/2
val bigRes = bigNum * (bigNum + 1) / 2L
val smallRes = smallNum * (smallNum + 1) / 2L
return mark * (bigRes - smallRes)
}
}
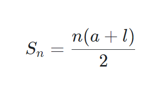
다른 분들의 코드를 보고 제 코드가 비효율적임을 알았고, 이것은 등차수열의 합 공식의 원리를 이해하지 못해서 발생했습니다.
등차수열의 합 공식은 아래와 같습니다.

여기서 n은 항의 갯수, a는 첫 항, l은 마지막 항입니다.
따라서 이전 코드와 같이 1부터 n까지의 합을 계산하는 것이 아니라, 작은 값부터 큰 값까지의 합을 바로 계산할 수 있습니다.
class Solution {
fun solution(a: Int, b: Int): Long {
if (a == b) {
return a.toLong()
} else if (a == -b) {
return 0
}
var smallNum = b.toLong()
var bigNum = a.toLong()
if (a < b) {
smallNum = a.toLong()
bigNum = b.toLong()
}
return (bigNum - smallNum + 1) * (bigNum + smallNum) / 2
}
}
'코딩테스트' 카테고리의 다른 글
| Kotlin Boxing Type 쓰지 마세요 체질이라는게바뀝니다 (0) | 2024.03.26 |
|---|---|
| 프로그래머스 햄버거 만들기 Kotlin 빠른 답안 (0) | 2024.03.22 |
| 프로그래머스 체육복 Kotlin 빠른 답안 (0) | 2024.03.18 |
| 프로그래머스 삼총사 다르게 풀어보기 with Kotlin (0) | 2024.03.03 |
| 전역 변수를 활용해서 시간 단축하기 (0) | 2024.02.06 |